
Does Islamist Terrorism Still Affect Political Attitudes?
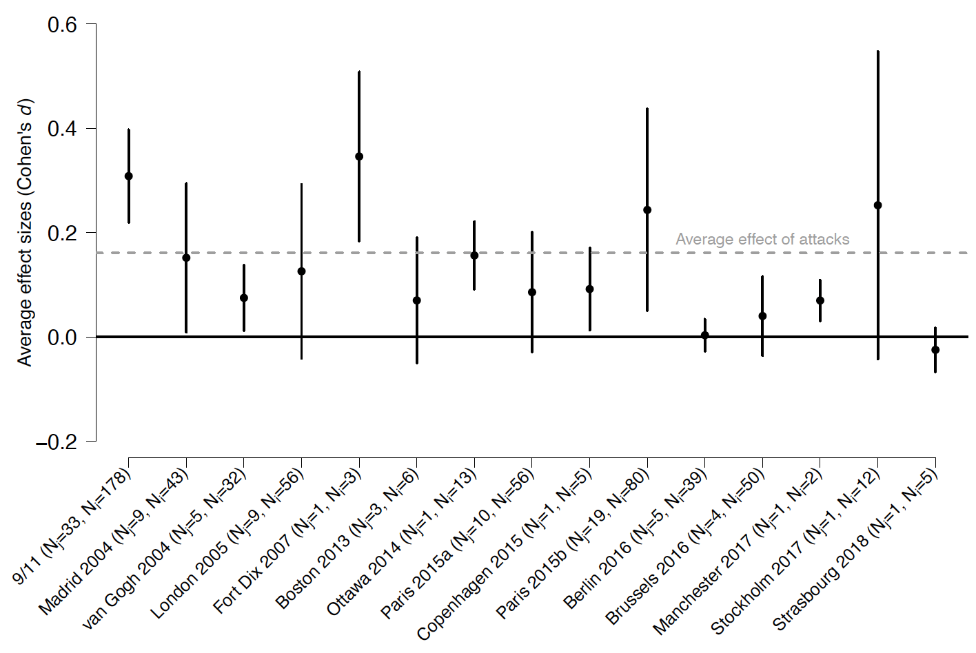
Are people becoming desensitized to terrorism? Drawing on a temporal meta-analysis and a controlled comparison of two natural experiments, we find little evidence that responsiveness has systemically diminished – or increased – over time.